Kettenzählung – Nachwuchs im Fokus

Rebhühner M. Radloff
Foto: M. Radloff

Neben der Bestandsentwicklung aus dem Monitoring im Spätwinter/Frühjahr ist auch der Bruterfolg eine wichtige Kennzahl, um die Entwicklung der Rebhuhnbestände zu verfolgen. Die gezielte Erfassung jährlicher Veränderungen und Trends der verschiedenen Kennzahlen für den Zustand der Rebhuhn-Populationen ist aufgrund der starken Gefährdung der Vögel besonders wichtig. Daher haben wir im Jahr 2023 zum ersten Mal bundesweit zu einer Kettenzählung im Spätsommer/Herbst aufgerufen. Die Kettenzählung, also die Suche und Meldung von Familienverbänden, dient der Bewertung des Bruterfolgs.

Die Kettenzählung findet von Mitte August bis Anfang Oktober statt. In diesem Zeitraum ist die höchste mittlere Individuenzahl pro Kette nach dem Brutzeitraum zu beobachten, die Agrarlandschaft ist nach der Ernte gut einsehbar und eine Unterscheidung der Jung- und Altvögel ist noch möglich. Diese Unterscheidung ist für eine Einschätzung des Bruterfolgs unbedingt notwendig. Zumeist bestehen die Rebhuhnketten aus einem Familienverband, also einem Elternpaar mit Jungvögeln, oder aus Rebhühnern, die im Sommer keinen Bruterfolg hatten und sich als kleine Gruppe zusammenfinden. Doch die Kettenzusammensetzung kann davon auch abweichen. Informationen zur Unterscheidung der Jung- und Alttiere sowie den möglichen Kettenzusammensetzungen finden Sie in der Publikation „Empfehlungen zur Erfassung von Rebhühnern Perdix perdix im Spätsommer/Herbst – ein Aufruf zur Mitarbeit“

Zur Teilnahme an der Kettenzählung ist keine Anmeldung erforderlich: Jede*r Interessierte ist eingeladen, sich auf die Suche nach Rebhuhnfamilien zu machen und die Beobachtungen zu teilen. Ihre Beobachtungen können Sie direkt über die NaturaList-App oder über ornitho.de melden.

Damit Ihre Beobachtungen in unsere Auswertungen eingehen können, ist es entscheidend, dass die Ketten zum einen mit allen Rebhühnern als Gesamtanzahl gemeldet werden und eine Unterscheidung nach Jung- und Altvögeln erfolgt. Letzteres erfolgt über die Eingabe der Anzahl pro Altersklasse unter „Details“.

Weitere Informationen, auch zur Dateneingabe, finden Sie in der Handreichung mit Empfehlungen zur Erfassung von Rebhuhnketten .

Einen kurzen Überblick über die Kettenzählung gibt Ihnen unser Factsheet

Ergebnisse der Kettenzählung 2025

Auch 2025 folgten wieder zahlreiche Engagierte dem gezielten Aufruf zur Kettenzählung im Spätsommer und Herbst – bereits zum dritten Mal in Folge.
Zwischen dem 15. August und dem 10. Oktober wurden insgesamt 1084 Rebhuhn-Ketten gemeldet (Definition: mindestens zwei Rebhühner pro Meldung).

Besonders wertvoll sind die 302 Meldungen, die zusätzliche Angaben zum Alter der Tiere enthalten. Das entspricht etwa einem Viertel aller Beobachtungen – ein erfreulich stabiler Anteil, wie schon in den beiden Vorjahren (siehe Abb. 1). Ein herzliches Dankeschön an alle, die sich die Mühe gemacht haben, diese Details zu erfassen!

Kettenmeldungen (Anzahl gemeldeter Rebhühner > 1) mit und ohne Detailangaben
Abb. 1: Kettenmeldungen (Anzahl gemeldeter Rebhühner > 1) mit und ohne Detailangaben (Angaben zu Alter und/oder Geschlecht) für den Zeitraum 15. August bis 10. Oktober. © ornitho.de / DDA 2025
© ornitho.de / DDA 2025

Bei der Datenprüfung wurde die Stichprobe auf 293 Familienverbände eingegrenzt. Davon stammen 91 Meldungen aus den Projektgebieten des Vorhabens „Rebhuhn retten – Vielfalt fördern!“. 202 Ketten wurden außerhalb der Gebiete beobachtet.

Als Maß für den Bruterfolg wurde berechnet, wie viele Jungvögel durchschnittlich auf ein Paar Altvögel kommen. Im Jahr 2025 lag dieser Wert bei 5,8 Jungtieren pro Paar – leicht über dem langjährigen Mittel von 5,7 (siehe Abb. 2). Innerhalb der Projektgebiete war der Wert mit 6,1 Jungvögeln pro Paar etwas höher als außerhalb (5,6, siehe Abb. 3).

Kettenmeldungen (Anzahl gemeldeter Rebhühner > 1) mit und ohne Detailangaben
Abb. 2: Durchschnittliche Anzahl an Jungvögeln pro Paar Altvögel aus den ornitho-Daten für die Jahre 2012 bis 2024 im Zeitraum 15. August bis 10. Oktober mit 95 % Konfidenzintervall. Die gestrichelte Linie stellt den Mittelwert aus allen Jahren dar. Es wurden nur Beobachtungen von Rebhuhnketten mit zugehörigen Detailangaben zu adulten und juvenilen Tieren zugrunde gelegt.
© ornitho.de / DDA 2025
Durchschnittliche Anzahl an Jungvögeln pro Paar Altvögel innerhalb und außerhalb von Projektgebieten
Abb. 3: Durchschnittliche Anzahl an Jungvögeln pro Paar Altvögel aus den ornitho-Daten für das Jahr 2025, Zeitraum 15. August bis 10. Oktober, mit 95 % Konfidenzintervall aus den Kettenmeldungen innerhalb und außerhalb der Projektgebiete des Verbundprojektes „Rebhuhn retten – Vielfalt fördern!“. Die gestrichelte Linie stellt den Mittelwert dar. Es wurden nur Beobachtungen von Rebhuhnketten mit zugehörigen Detailangaben zu adulten und juvenilen Tieren zugrunde gelegt.
© ornitho.de / DDA 2025

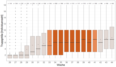
Wer die Kettenzählung schon länger verfolgt, merkt: Der Bewertungszeitraum wurde in diesem Jahr nach vorne erweitert. Hintergrund ist eine Analyse der Rebhuhn-Meldungen seit 2012 (Abb. 4), die zeigt, dass die Gruppengrößen bereits ab Mitte August bis Anfang Oktober stabil und vergleichbar sind. Durch den erweiterten Zeitraum konnten wir die Stichprobe deutlich vergrößern – 293 Detailmeldungen statt 175. Zudem fällt es vielen Beobachter*innen gerade bei jüngeren Jungvögeln leichter, das Alter zu bestimmen.

Durchschnittliche Anzahl an Jungvögeln pro Paar Altvögel innerhalb und außerhalb von Projektgebieten
Abb. 4: Entwicklung der Truppgröße (Individuenzahl) von Rebhuhnverbänden nach Wochen in den Monaten Juli bis Oktober. Horizontale Linien stellen den Median da, Kreise den Mittelwert. Datengrundlage sind alle Rebhuhnmeldungen mit Bestandsangaben aus den Jahren 2012 bis 2025 mit Ausnahme von Ausreißern oberhalb des 99 %-Konfidenzintervall. Der in unserer Methodik für die Kettenzählung empfohlene Zeitraum (Mitte August bis Anfang Oktober) ist farblich hervorgehoben, heller gefärbte Wochen fallen teilweise in den Zeitraum.
© ornitho.de / DDA 2025

Für mehr Vergleichbarkeit wurden die Auswertungen auch rückwirkend für die Vorjahre angepasst. Und: Ab 2026 wird der Aufruf zur Kettenzählung entsprechend früher starten.

)

 Suche